главная страница / библиотека / обновления библиотеки / оглавление книги

Я.А. Шер. Петроглифы Средней и Центральной Азии. М.: 1980. Я.А. Шер

Петроглифы Средней и Центральной Азии.

// М.: 1980. 328 с.

 

[ Таблицы I-XII ]

 

I | II | III | IV | V | VI | VII | VIII | IX | X | XI | XII |

 

[ Рисунки 1-125 ]

 

1 | 2 | 3 | 4 | 5 | 6 | 7 | 8 | 9 | 10 |

 

11 | 12 | 13 | 14 | 15 | 16 | 17 | 18 | 19 | 20 |

 

76 |

 

 

 

 

[ В книге списка таблиц и рисунков нет. Здесь он добавлен для удобства. ]

 

 

 

 

 


^   Табл. I. [ с. 26 ] Наскальные изображения лося:
1 — Карелия [Савватеев, 1970]; 2 — Урал [Чернецов, 1964]; 3 — Томь [Окладников, Мартынов, 1972]; 4 — Енисей (неолит); 5 — Ангара [Окладников, 1966 (I)]; 6-9 — Восточная Сибирь [Окладников, Запорожская, 1959; 1969; 1970]; 10 — Енисей (таштыкское время), 1
1 — документальный рисунок [Боголюбский, 1959]; 12-13 — Енисей (неолит, ранняя бронза).

(Открыть Табл. I в новом окне)


^   Табл. II. [ с. 27 ] Наскальные изображения лошади:
1 — Ляско [Ламинг-Эмперер, 1959]; 2 — Шишкино [Окладников, 1959]; 3, 8, 1
1 — Енисей; 4 — Сармыш [Кабиров, 1976 (II)]; 5 — Лена [Окладников, Запорожская, 1959]; 6 — Дагестан [Котович, 1976]; 7 — Гобустан [Джафарзаде, 1973]; 8 — Енисей, Оглахты; 9 — Тянь-Шань, Саймалы-Таш; 10 — Монголия [Дорж, Новгородова, 1975].

(Открыть Табл. II в новом окне)


^   Табл. III. [ с. 29 ] Наскальные изображения быка:
1 — Енисей (неолит); 2 — Енисей (энеолит, ранняя бронза — [Пшеницына и др., 1975]); 3 — Тянь-Шань, Саймалы-Таш; 4 — Тамгалы; 5 — Шишкино [Окладников, 1959]; 5 — Енисей, Шалаболино; 7 — Италия, Леванцо [Грациози, 1953]; 8 — Якутия, Токко [Окладников, Мазин, 1976].

(Открыть Табл. III в новом окне)


^   Табл. IV. [ с. 30 ] Наскальные изображения марала:
1 — Азербайджан, Гобустан [Джафарзаде, 1973]; 2 — Енисей; 3 — Тянь-Шань. Саймалы-Таш; 4 — Монголия [Дорж, Новгородова, 1975]; 5-7 — Енисей; 8 — Тува, Аржан [Грязнов, Маннай-оол, 1974]; 9 — Испания [Кюн, 1933].

(Открыть Табл. IV в новом окне)


^   Табл. V. [ с. 31 ] Наскальные изображения горного козла:
1 — Средняя Азия [Шацкий, 1973); 2 — Афганистан [Трауздейл, 1965J; 3, 6 — Кавказ, Гобустан [Джафарзаде, 1973]; 4 — Тянь-Шань, Саймалы-Таш; 5 — Иордания, Кильва [Брентьес, 1976]; 7 — Монголия [Дорж, Новгородова, 1975]; 8 — Тува [Дэвлет, 1976 (II)]; 9 — Енисей.

(Открыть Табл. V в новом окне)


^   Табл. VI. [ с. 32 ] Антропоморфные наскальные изображения:
1 — Кавказ. Гобустан [Джафарзаде, 1973]; 2 — Карелия [Савватеев, 1970]; 3 — Лена [Окладников, 1959]; 4, 5, 11, 12 — Енисей: 6, 9 — Средняя Азия [Кабиров, 1976 (I-II)]; 7 — Енисей [Липский, 1961]; 8 — Байкал [Окладников, 1974]; 10 — Тянь-Шань, Саймалы-Таш.

(Открыть Табл. VI в новом окне)


^   Рис. 1. [ с. 33 ] Саймалы-Таш. Разные животные (козёл, бык, лошадь, хищник) изображены средствами одного изобразительного «языка».

(Открыть Рис. 1 в новом окне)


^   Табл. VII. [ с. 34 ] Рисунки животных на передневосточной керамике эпохи бронзы [Гиршман, 1963; Малеки, 1968]:
1, 6, — Сузы; 2, 5, — Гиссар I; 3 — Гиян V; 4, 7-9 — Исмаилабад.

(Открыть Табл. VII в новом окне)


^   Рис. 2. [ с. 35 ] Енисей. Усть-Туба III.60. Скифо-сибирский звериный стиль.

(Открыть Рис. 2 в новом окне)


^   Рис. 3. [ с. 35 ] Усть-Туба III.60. Образы разных животных создаются в результате замены содержательных элементов при сохранении основных изобразительных инвариантов.

(Открыть Рис. 3 в новом окне)


^   Рис. 4. [ с. 36 ] Ирак. Ярым-тепе II. Рисунок на керамике [Мерперт, Мунчаев, 1971]. Ноги у птиц и животных изображены одинаково.

(Открыть Рис. 4 в новом окне)


^   Рис. 5. [ с. 37 ] Саймалы-Таш. Изображения горного козла:

1 — досакское время; 2 — сакское время; 3 — тюркское время.

(Открыть Рис. 5 в новом окне)


^   Рис. 6. [ с. 37 ] Изображения всадника:

1, 3 — Енисей, Усть-Туба III; 2 — Енисей, Суханиха.

(Открыть Рис. 6 в новом окне)


^   Рис. 7. [ с. 38 ] Фигурка всадника из Сибирской коллекции [Руденко, 1952].

(Открыть Рис. 7 в новом окне)


^   Рис. 8. [ с. 39 ] Лена, рисунки лосей:

1-2 — неолит; 3-4 — курыканское время [Окладников, Запорожская, 1959].

(Открыть Рис. 8 в новом окне)


^   Рис. 9. [ с. 51 ] Базовые точки для формализованного описания.

(Открыть Рис. 9 в новом окне)


^   Таблица VIII. [ с. 53 ]
Формализованное описание рисунков, использованных в эксперименте.
Примечание. УТ — Усть-Туба, О — Оглахты, Т — Тепсей, СЧ — Сырский чаатас, Т.III.ск — Тепсей III, склеп, ЧЛ — Черёмушный Лог. Цифры над столбцами — порядковые номера признаков, перечисленных в списке. Единицами обозначено наличие данного признака. Цифры перед названиями — порядковые номера рисунков, соответствующие номерам точек на графе (табл. X).

(Открыть Табл. VIII в новом окне)


^   Таблица IX. [ с. 54 ]
Матрица показателей сходства. Примечание. Цифры от 1 до 18 — порядковые номера рисунков, представленных в табл. VIII. Цифры на пересечениях строк и столбцов — величина показателя сходства между данной парой рисунков.

(Открыть Табл. IX в новом окне)


^   Рис. 10. [ с. 57 ] Изображения, использованные в машинном эксперименте:

1-16 — Енисей (12 — [Кызласов, 1962]; 13, 16 — [Грязнов, 1971]; 17-18 — Ангара [Окладников, 1966 (I)].

(Открыть Рис. 10 в новом окне)


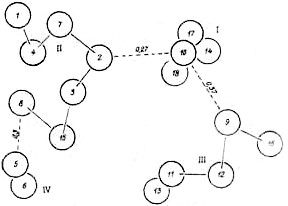
^   Таблица X. [ с. 58 ]
Граф связей между группами рисунков разных эпох и культур:
I — неолит; II — скифо-сибирский стиль; III — таштыкская культура; IV — тюркское время.

(Открыть Табл. X в новом окне)


^   Таблица XI. [ с. 203; без подписи ]

(Открыть Табл. XI в новом окне)


^   Таблица XII. [ с. 204; без подписи ]

(Открыть Табл. XII в новом окне)


^   Рис. 11. [ с. 62 ] Мугур-Саргол. Тонкая гравировка перекрыта выбоинами.

(Открыть Рис. 11 в новом окне)


^   Рис. 12. [ с. 69 ] Енисей. Прорисовка эстампажа А.В. Адрианова.

(Открыть Рис. 12 в новом окне)


^   Рис. 13. [ с. 70 ] Эстампаж А.В. Адрианова (МАЭ АН СССР).

(Открыть Рис. 13 в новом окне)


^   Рис. 14. [ с. 72 ] Енисей. Оглахты II.

(Открыть Рис. 14 в новом окне)


^   Рис. 15. [ с. 76 ] Енисей. Стереофотоснимок техники выбивки петроглифов: каменный инструмент, края выбоин острые.

(Открыть Рис. 15 в новом окне)


^   Рис. 16. [ с. 76 ] Енисей. Стереофотоснимок техники выбивки петроглифов: металлический инструмент, края выбоин сглажены.

(Открыть Рис. 16 в новом окне)


^   Рис. 17. [ с. 81 ] Схема распространения основных местонахождений петроглифов Средней и Центральной Азии.
Местонахождение петроглифов: 1 — Чильпык, Беш-тюбе; 2 — Тамдытау; 3 — Букантау; 4 — Сармыш; 5 — Зараут-сай; 6 — Наматгут; 7 — Акджилга; 6 — Шахты; 9 — Тобуш; 10 — Сураты; 11 — Сурат-Таш (Айырмачтау); 12 — Саймалы-Таш; 13 — Ур-Марал; 14 — Каска-Булак (Аксу- Джебаглы); 15 — Каратау; 16 — Тамгалы ; 17 — Чумыш; 18 — Калмак-Ашу; 19 — Сон-Куль; 20 — Чолпон-Ата; 21 — Ак-Чункур; 22 — Садыр; 23 — Фаньлю (Синьцзян); 24 — Бугытас; 26 — Окей; 26 — Тамураши; 27 — Куюс; 28 — Бураты; 29 — Каракол; 30 — Цагаан-Гол; 31 — Ханын хад; 32 — Турочак; 33 — Овюр; 34 — Сыын-Чюрек; 35 — Мугур-Саргол — Чинге; 36 — Джойский порог; 37 — Кундусук; 38 — Суханиха; 39 — Оглахты; 40 — Тепсей — Усть-Туба; 41 — Черёмушный Лог; 42 — Усть-Кулог; 43 — Боярские писаницы; 44 — Томская писаница.

(Открыть Рис. 17 в новом окне)


^   Рис. 18. [ с. 82 ] Памир. Грот Шахты [Ранов, 1967].

(Открыть Рис. 18 в новом окне)


^   Рис. 19. [ с. 83 ] Памир: 1 — Наматгут; 2-13 — Язгулем [Агаханянц, 1957].

(Открыть Рис. 19 в новом окне)


^   Рис. 20. [ с. 84 ] Памир. Акджилга. Колесница [Жуков, Ранов, 1972].

(Открыть Рис. 20 в новом окне)


 

[ . . . ]

 


 

^   Рис. 76. [ с. 151 ] Минусинская котловина. Усть-Туба II.

(Открыть Рис. 76 в новом окне)


 

 

 

 

[ . . . ]

 

 

 

 

 

 

 

 

наверх

главная страница / библиотека / обновления библиотеки / оглавление книги